青基会微信公众号

青基会官方微博

    • 首页
    • 公益项目
      铸魂育人 助学兴教 希望基地建设 健康守护
    • 资助信息
      资助标准 项目公告
    • 信息公开
      预决算公开 信息公开公示 审计报告 年检报告 捐赠支出 爱心榜 资料下载
    • 新闻资讯
      公示 党支部风采 爱心故事 机构动态 活动新闻
    • 关于我们
      机构简介 理事会 | 监事会 机构章程 机构荣誉 联系我们
    登录 注册

    首页 > 新闻资讯 > 爱心故事 > 灰尘也可以去旅行吗?

    灰尘也可以去旅行吗?

    浏览量:4775来源:本站发布时间:2022-09-11 13:28:33

    小时候的你

    是否对世界和充满好奇和期待

    是否也曾有过许多奇妙的想象和疑问


    “地球为什么是蓝色的?”

    “鱼睡觉的时候也不用闭眼睛吗?”

    “灰尘也可以去旅行吗?”


    “灰尘?灰尘?

    灰尘也可以去旅行吗?”

    阳春市石望镇交明小学

    五年级的李同学也发出了这样的疑问


    在阅读了《灰尘旅行记》后

    她发出感叹

    “原来灰尘是这么奇妙的

    它们虽然很小很小

    但是它们是无处不在的

    随着空气的动荡而漂流

    随着风的方向向世界各地行走

    真不愧是旅行家的佼佼者”



    在交明小学

    像这样因读书而不时感叹的孩子还有很多

    孩子们围坐在书架旁

    津津有味地看着学校新到的图书

    深深地被书中的内容吸引

    不时绽放着微笑



    在原来的交明小学

    图书种类数目少

    阅读层次并不适合中小学生启蒙

    很多孩子们虽然很想看书

    但是却没有足够的资源可供阅读

    2022年夏天

    广东省青少年发展基金会

    为孩子们送来了700册图书

    类型包括文学、科学、教育读物

    极大地丰富了学校的图书资源



    同学们在阅读中培养兴趣

    了解一些人生的道理

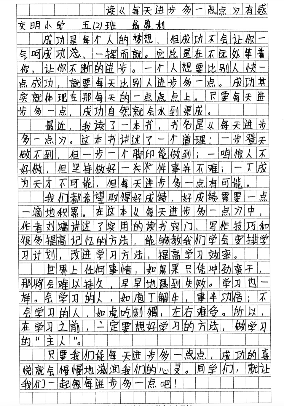
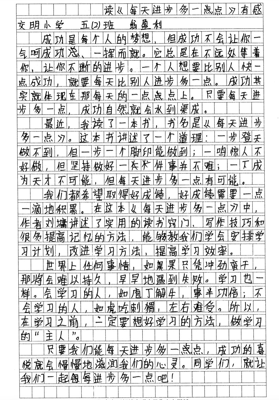
    五年级的翁同学在

    阅读了《每天进步一点点》后

    就开始明白

    “一步登天做不到

    但一步一个脚印能做到

    一鸣惊人不好做

    但坚持做好一件事并不难

    一下成为天才不可能

    但每天进步多一点有可能。”



    孩子们在阅读中畅游世界

    在阅读中增长见识

    在阅读中体悟人生



    在一些偏远地区

    还有一些孩子也渴求着阅读

    希望能见识到外面广阔的世界

    来自爱心人士的捐赠

    将让更多优质图书

    来到孩子手中

    帮助更多乡村孩子

    通过阅读了解乡村之外的世界


    如果您有捐赠意愿

    欢迎拨打020-87184938联系我们

    在这个秋天

    把更多有意思的书籍

    带给乡村的孩子们吧!


    责任编辑:晶晶

    微信二维码

    公众号二维码

    助学育人

    共创希望

    扫码关注我们

    · 南粤希望工程 ·

    小时候的你

    是否对世界和充满好奇和期待

    是否也曾有过许多奇妙的想象和疑问


    “地球为什么是蓝色的?”

    “鱼睡觉的时候也不用闭眼睛吗?”

    “灰尘也可以去旅行吗?”


    “灰尘?灰尘?

    灰尘也可以去旅行吗?”

    阳春市石望镇交明小学

    五年级的李同学也发出了这样的疑问


    在阅读了《灰尘旅行记》后

    她发出感叹

    “原来灰尘是这么奇妙的

    它们虽然很小很小

    但是它们是无处不在的

    随着空气的动荡而漂流

    随着风的方向向世界各地行走

    真不愧是旅行家的佼佼者”



    在交明小学

    像这样因读书而不时感叹的孩子还有很多

    孩子们围坐在书架旁

    津津有味地看着学校新到的图书

    深深地被书中的内容吸引

    不时绽放着微笑



    在原来的交明小学

    图书种类数目少

    阅读层次并不适合中小学生启蒙

    很多孩子们虽然很想看书

    但是却没有足够的资源可供阅读

    2022年夏天

    广东省青少年发展基金会

    为孩子们送来了700册图书

    类型包括文学、科学、教育读物

    极大地丰富了学校的图书资源



    同学们在阅读中培养兴趣

    了解一些人生的道理

    五年级的翁同学在

    阅读了《每天进步一点点》后

    就开始明白

    “一步登天做不到

    但一步一个脚印能做到

    一鸣惊人不好做

    但坚持做好一件事并不难

    一下成为天才不可能

    但每天进步多一点有可能。”



    孩子们在阅读中畅游世界

    在阅读中增长见识

    在阅读中体悟人生



    在一些偏远地区

    还有一些孩子也渴求着阅读

    希望能见识到外面广阔的世界

    来自爱心人士的捐赠

    将让更多优质图书

    来到孩子手中

    帮助更多乡村孩子

    通过阅读了解乡村之外的世界


    如果您有捐赠意愿

    欢迎拨打020-87184938联系我们

    在这个秋天

    把更多有意思的书籍

    带给乡村的孩子们吧!


    责任编辑:晶晶

  • 上一篇:在广东,种下“希望”30年
  • 下一篇:99公益日圆满收官!感谢每一个为爱前行的你!
捐助热线

020-87185608|

广东省青少年发展基金会

行政财务部:020-87185608

地址:广州市越秀区寺贝通津一号大院之三

粤ICP备12087733号

粤公网安备 44010402002504号

隐私政策

友情链接

慈善中国

广东省社会组织综合信息服务平台

中国共青团

中国青少年发展基金会

广东共青团

i 志愿

亲青公益

我们的伙伴

广东希望工程
微信订阅号

广东青基会
微信服务号