青基会微信公众号

青基会官方微博

    • 首页
    • 公益项目
      铸魂育人 助学兴教 希望基地建设 健康守护
    • 资助信息
      资助标准 项目公告
    • 信息公开
      预决算公开 信息公开公示 审计报告 年检报告 捐赠支出 爱心榜 资料下载
    • 新闻资讯
      公示 党支部风采 爱心故事 机构动态 活动新闻
    • 关于我们
      机构简介 理事会 | 监事会 机构章程 机构荣誉 联系我们
    登录 注册

    首页 > 新闻资讯 > 爱心故事 > 她,用坚持传递爱与希望

    她,用坚持传递爱与希望

    浏览量:2718来源:本站发布时间:2022-04-11 16:17:13

    还记得图中这位亲切的奶奶吗?

    图中为省人大常委会原主任、省关工委主任张帼英


    张奶奶是我们希望工程的“老熟人”

    参与了多届羊城会亲和南粤会亲


    左右滑动查看


    去年举行的南粤会亲

    张奶奶资助了两名学生

    勉励她们好好学习

    并给孩子们分别准备了精心挑选的礼物


    张奶奶和受助学子


    今年1月

    张奶奶再次向希望工程捐款1万元

    用于帮助乡村学子

    默默地为他们提供支持


    南粤会亲受助学子向张帼英奶奶敬队礼


    从第一届南粤会亲到现在

    张奶奶坚持参加活动

    传递爱的火炬

    不仅见证了羊城会亲到南粤会亲的转变

    也带动了身边不少人加入助学育人的队伍中

    张奶奶与孩子们一起参观主题为“我向习爷爷说句心里话”公益画展


    前不久,得到张奶奶资助过的

    受助学子小李

    给张奶奶写了回信


    向下滑动

    查看


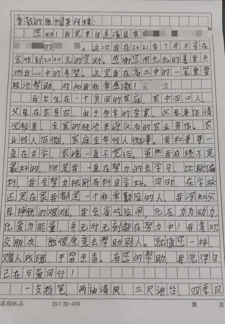
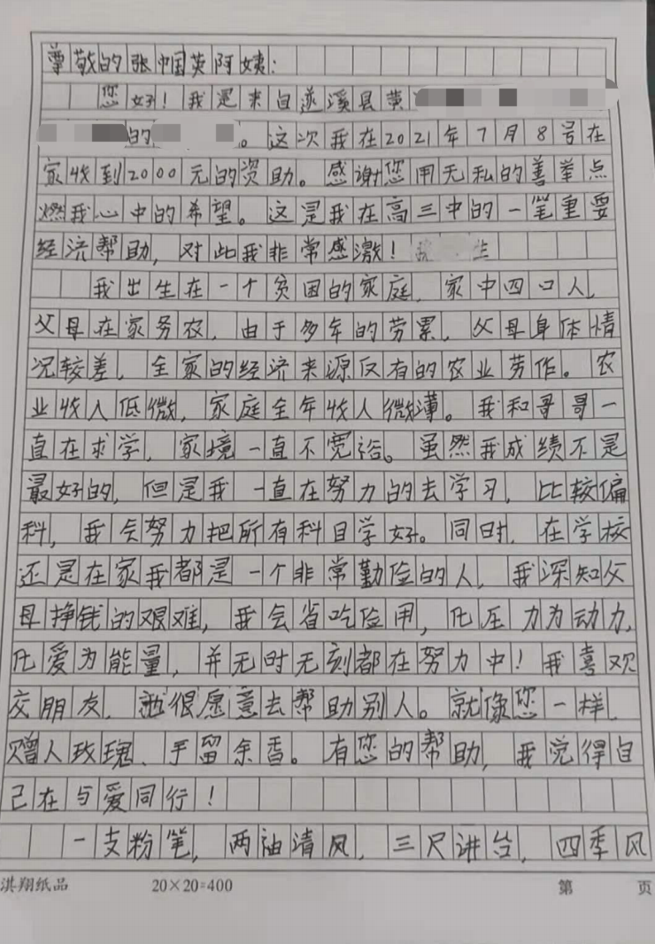
    尊敬的张奶奶:


        您好!我是受您资助的一位学生李*,谢谢您给我物质和精神方面的支持和帮助。

        上次会亲活动得到您们的关爱,我觉得很荣幸:您那和蔼的目光给予我安慰和自信。那一刻,我决心努力学习,不辜负您对我的期望。我积极参加学校开展的各项活动,和同学关系融洽,在校住宿也很开心,我每天刻苦学习,以求靠知识改变自己的命运,改善家里贫困的处境。

        “滴水之恩当涌泉相报。”是您的关爱照亮我的心田,我会怀着一颗感恩的心完成我的学业,将来做一个对社会有用的人,让您觉得对我的付出是值得的。

        最后,请接受我发自内心的祝福:祝您好人一生平安!


    受助人:李*

    2022年3月10日


    在信中

    小李说,与张奶奶的见面

    带给她安慰和自信

    这份来自陌生人的爱心

    会支持她好好学习

    用知识改变命运



    张奶奶用她的坚持与行动

    用点滴爱意支持乡村青少年的成长

    浇灌出生生不息的希望


    学生们也会写信

    告诉张奶奶他们的近况

    向她表示感谢

    左右滑动查看


    自参与希望工程以来

    张奶奶已累计捐款5.9万元

    不仅坚持参加南粤会亲

    更坚持为困难学子提供助学金

    支持他们继续学业


    我们希望

    有更多像张奶奶一样的爱心人士

    能为乡村学子提供助力


    我们诚挚地邀请您加入我们

    成为1+1爱心助学·月捐人

    用每月的点滴善意

    传递爱与希望

    为乡村青少年提供新助力

    播种新希望


    微信二维码

    公众号二维码

    助学育人

    共创希望

    扫码关注我们

    · 南粤希望工程 ·

    点击阅读原文,支持南粤希望工程!


    还记得图中这位亲切的奶奶吗?

    图中为省人大常委会原主任、省关工委主任张帼英


    张奶奶是我们希望工程的“老熟人”

    参与了多届羊城会亲和南粤会亲


    左右滑动查看


    去年举行的南粤会亲

    张奶奶资助了两名学生

    勉励她们好好学习

    并给孩子们分别准备了精心挑选的礼物


    张奶奶和受助学子


    今年1月

    张奶奶再次向希望工程捐款1万元

    用于帮助乡村学子

    默默地为他们提供支持


    南粤会亲受助学子向张帼英奶奶敬队礼


    从第一届南粤会亲到现在

    张奶奶坚持参加活动

    传递爱的火炬

    不仅见证了羊城会亲到南粤会亲的转变

    也带动了身边不少人加入助学育人的队伍中

    张奶奶与孩子们一起参观主题为“我向习爷爷说句心里话”公益画展


    前不久,得到张奶奶资助过的

    受助学子小李

    给张奶奶写了回信


    向下滑动

    查看


    尊敬的张奶奶:


        您好!我是受您资助的一位学生李*,谢谢您给我物质和精神方面的支持和帮助。

        上次会亲活动得到您们的关爱,我觉得很荣幸:您那和蔼的目光给予我安慰和自信。那一刻,我决心努力学习,不辜负您对我的期望。我积极参加学校开展的各项活动,和同学关系融洽,在校住宿也很开心,我每天刻苦学习,以求靠知识改变自己的命运,改善家里贫困的处境。

        “滴水之恩当涌泉相报。”是您的关爱照亮我的心田,我会怀着一颗感恩的心完成我的学业,将来做一个对社会有用的人,让您觉得对我的付出是值得的。

        最后,请接受我发自内心的祝福:祝您好人一生平安!


    受助人:李*

    2022年3月10日


    在信中

    小李说,与张奶奶的见面

    带给她安慰和自信

    这份来自陌生人的爱心

    会支持她好好学习

    用知识改变命运



    张奶奶用她的坚持与行动

    用点滴爱意支持乡村青少年的成长

    浇灌出生生不息的希望


    学生们也会写信

    告诉张奶奶他们的近况

    向她表示感谢

    左右滑动查看


    自参与希望工程以来

    张奶奶已累计捐款5.9万元

    不仅坚持参加南粤会亲

    更坚持为困难学子提供助学金

    支持他们继续学业


    我们希望

    有更多像张奶奶一样的爱心人士

    能为乡村学子提供助力


    我们诚挚地邀请您加入我们

    成为1+1爱心助学·月捐人

    用每月的点滴善意

    传递爱与希望

    为乡村青少年提供新助力

    播种新希望



  • 上一篇:冲“锋”少年喊你来投票啦!
  • 下一篇:热爱“篮”不住:少年,冲锋吧!
捐助热线

020-87185608|

广东省青少年发展基金会

行政财务部:020-87185608

地址:广州市越秀区寺贝通津一号大院之三

粤ICP备12087733号

粤公网安备 44010402002504号

隐私政策

友情链接

慈善中国

广东省社会组织综合信息服务平台

中国共青团

中国青少年发展基金会

广东共青团

i 志愿

亲青公益

我们的伙伴

广东希望工程
微信订阅号

广东青基会
微信服务号